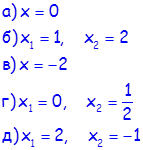
Решење:
Пријавите се да бисте видели поступак...
Страна 2 од 3
Ко је на мрежи: 597 гостију и 10 чланова